Advertisement

Template For Trial Exhibit - Mo Witness List Form Complete Legal Document Online Us Legal Forms - Trial discovery and the trial of a civil case.

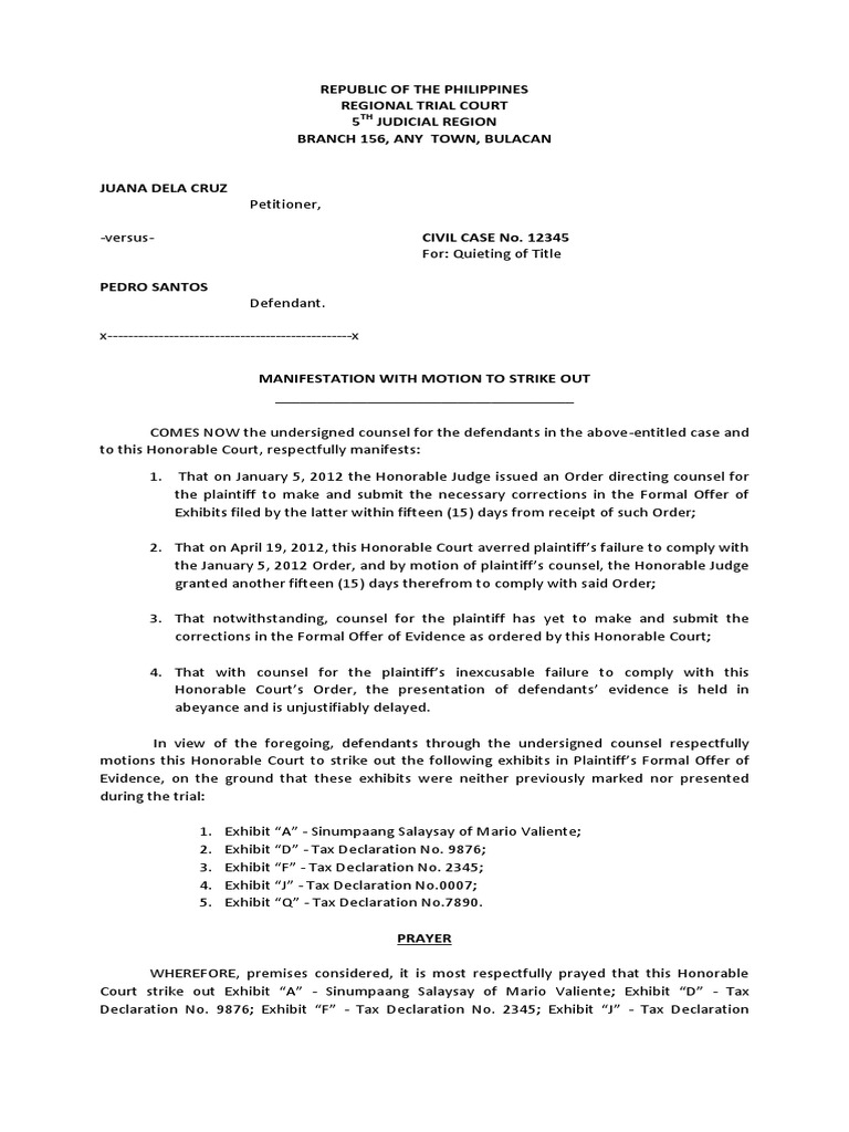
Template For Trial Exhibit - Mo Witness List Form Complete Legal Document Online Us Legal Forms - Trial discovery and the trial of a civil case.. It is not intended to constitute advice for any given trial. It is also essential to keep abreast of changes in the laws, rules, and court orders governing trial practice. Testimony and exhibits may be kept out the judge after the other side objects consequently, it is important to track what evidence comes in during the trial; Affidavits and statutory declarations are examples where you set out your evidence in a written form and sign in front of a person who is authorised to take declarations and administer oaths. Witness list (civil case) answer.

The artifact or document itself is presented for the jury's inspection. Testimony and exhibits may be kept out the judge after the other side objects consequently, it is important to track what evidence comes in during the trial; It is also essential to keep abreast of changes in the laws, rules, and court orders governing trial practice. Make sure the documents you attach to your affidavit or include in your exhibit are clear and easy to read. As we discussed, this is a very serious injury case.

Timeline Trial Exhibits Super User Friendly
Timeline Trial Exhibits Super User Friendly from sites.google.com
Make sure the documents you attach to your affidavit or include in your exhibit are clear and easy to read. An exhibit is served (given) with an affidavit on the other party, but is not usually filed with the court. Exhibit list (civil trial) civ903. Legal pleading template for plaintiff vs. Exhibits for the original and other copies should be separated by a blank piece of pleading paper with their exhibit letter or number (for instance, exhibit a) typed or written on the bottom of the page. Ways to track evidence include: Dhec arrest report and trial summons (shellfish division) pdf duiduac101: It is also essential to keep abreast of changes in the laws, rules, and court orders governing trial practice.

Make sure the documents you attach to your affidavit or include in your exhibit are clear and easy to read.

An exhibit, in a criminal prosecution or a civil trial, is physical or documentary evidence brought before the jury. Legal pleading template for plaintiff vs. If they are not, the court may not consider them. As a result of the accident he sustained permanent injuries neck and back spinal injuries. The law library sells card stock with tabs at the circulation desk. Affidavits and statutory declarations are examples where you set out your evidence in a written form and sign in front of a person who is authorised to take declarations and administer oaths. Memory (fallible) notes (cumbersome and hard to access) It is also essential to keep abreast of changes in the laws, rules, and court orders governing trial practice. It is not intended to constitute advice for any given trial. Ways to track evidence include: Exhibit list (civil trial) civ903. The artifact or document itself is presented for the jury's inspection. As we discussed, this is a very serious injury case.

Examples may include a weapon allegedly used in the crime, an invoice or written contract, a photograph, or a video recording. As a result of the accident he sustained permanent injuries neck and back spinal injuries. It is not intended to constitute advice for any given trial. It is also essential to keep abreast of changes in the laws, rules, and court orders governing trial practice. If they are not, the court may not consider them.

The Paralegal S Role In Creating The Trial Notebook Dummies
The Paralegal S Role In Creating The Trial Notebook Dummies from www.dummies.com
Legal pleading template for plaintiff vs. The artifact or document itself is presented for the jury's inspection. Testimony and exhibits may be kept out the judge after the other side objects consequently, it is important to track what evidence comes in during the trial; Ways to track evidence include: It is not intended to constitute advice for any given trial. Trial discovery and the trial of a civil case. The letter of the exhibit on the bottom. If they are not, the court may not consider them.

Exhibit list (civil trial) civ903.

Ways to track evidence include: As we discussed, this is a very serious injury case. Attorneys may forget the last step of offering an exhibit into evidence; The artifact or document itself is presented for the jury's inspection. Exhibits for the original and other copies should be separated by a blank piece of pleading paper with their exhibit letter or number (for instance, exhibit a) typed or written on the bottom of the page. Examples may include a weapon allegedly used in the crime, an invoice or written contract, a photograph, or a video recording. Click any legal pleading template to see a larger version and download it. Every case is different in both fact and complexity, so it is essential to consider issues and strategies that may not appear here. List of supporting documents (civil case) civ904. Make sure the documents you attach to your affidavit or include in your exhibit are clear and easy to read. Exhibit list (civil trial) civ903. An exhibit is served (given) with an affidavit on the other party, but is not usually filed with the court. It is not intended to constitute advice for any given trial.

The artifact or document itself is presented for the jury's inspection. Exhibits for the original and other copies should be separated by a blank piece of pleading paper with their exhibit letter or number (for instance, exhibit a) typed or written on the bottom of the page. As we discussed, this is a very serious injury case. If they are not, the court may not consider them. List of supporting documents (civil case) civ904.

Supreme Court Civil Rules
Supreme Court Civil Rules from www.bclaws.gov.bc.ca
Make sure the documents you attach to your affidavit or include in your exhibit are clear and easy to read. An exhibit, in a criminal prosecution or a civil trial, is physical or documentary evidence brought before the jury. Exhibit list (civil trial) civ903. Make sure you number each page of your exhibit consecutively. Testimony and exhibits may be kept out the judge after the other side objects consequently, it is important to track what evidence comes in during the trial; Click any legal pleading template to see a larger version and download it. If they are not, the court may not consider them. The law library sells card stock with tabs at the circulation desk.

An exhibit, in a criminal prosecution or a civil trial, is physical or documentary evidence brought before the jury.

As a result of the accident he sustained permanent injuries neck and back spinal injuries. List of supporting documents (civil case) civ904. As we discussed, this is a very serious injury case. Memory (fallible) notes (cumbersome and hard to access) An exhibit, in a criminal prosecution or a civil trial, is physical or documentary evidence brought before the jury. Legal pleading template for plaintiff vs. It is also essential to keep abreast of changes in the laws, rules, and court orders governing trial practice. Exhibits for the original and other copies should be separated by a blank piece of pleading paper with their exhibit letter or number (for instance, exhibit a) typed or written on the bottom of the page. Make sure the documents you attach to your affidavit or include in your exhibit are clear and easy to read. Dhec arrest report and trial summons (shellfish division) pdf duiduac101: An exhibit is served (given) with an affidavit on the other party, but is not usually filed with the court. The law library sells card stock with tabs at the circulation desk. If they are not, the court may not consider them.

Post a Comment

0 Comments